MPGL: An Efficient Matching Pursuit Method for Generalized LASSO

Dong Gong Mingkui Tan Yanning Zhang Anton van den Hengel Qinfeng Shi
In Thirty-First AAAI Conference on Artificial Intelligence (AAAI), 2017.

Abstract

Unlike traditional LASSO enforcing sparsity on the variables, Generalized LASSO (GL) enforces sparsity on a linear transformation of the variables, gaining flexibility and success in many applications. However, many existing GL algorithms do not scale up to high-dimensional problems, and/or only work well for a specific choice of the transformation. We propose an efficient Matching Pursuit Generalized LASSO (MPGL) method, which overcomes these issues, and is guaranteed to converge to a global optimum. We formulate the GL problem as a convex quadratic constrained linear programming (QCLP) problem and tailor-make a cutting plane method. More specifically, our MPGL iteratively activates a subset of nonzero elements of the transformed variables, and solves a subproblem involving only the activated elements thus gaining significant speed-up. Moreover, MPGL is less sensitive to the choice of the trade-off hyper-parameter between data fitting and regularization, and mitigates the long-standing hyper-parameter tuning issue in many existing methods. Experiments demonstrate the superior efficiency and accuracy of the proposed method over the state-of-the-arts in both classification and image processing tasks.

Model

Classical Generalized LASSO Problem

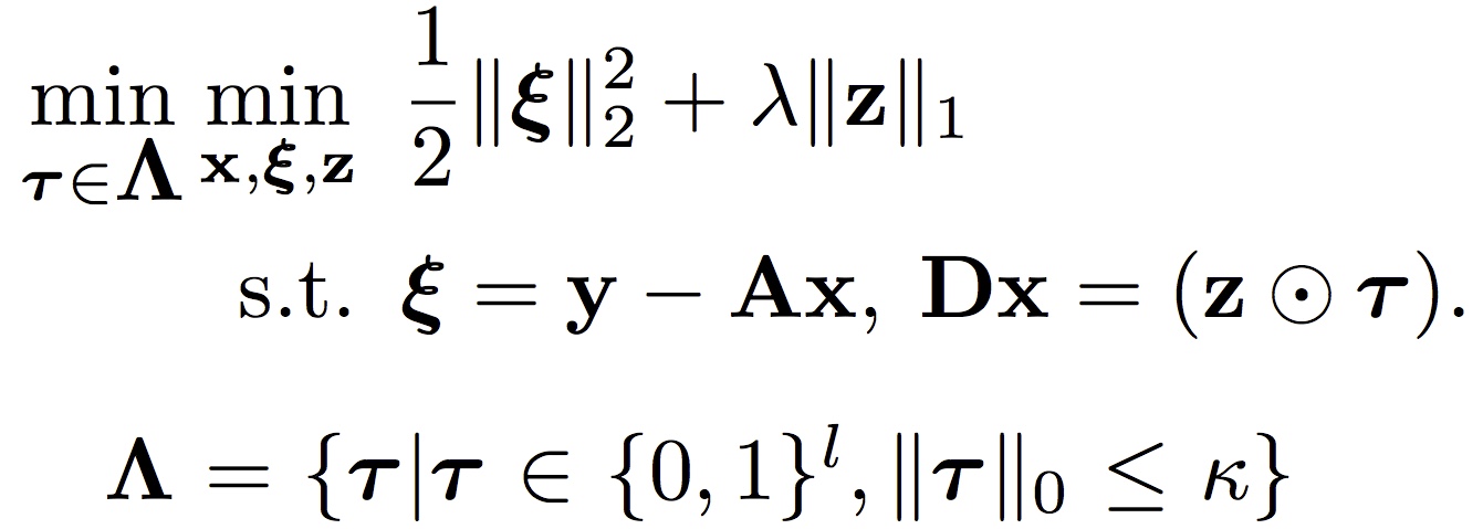
Proposed Formulation with a Binary Indicator for Generalized LASSO

Proposed QCLP formulation for Generalized LASSO

Algorithm

MPGL for Solving the Generalized LASSO Problem in QCLP Formulation

BibTeX

@inproceedings{gong2017mpgl,
  title     = {MPGL: An Efficient Matching Pursuit Method for Generalized LASSO},
  author    = {Gong, Dong and Tan, Mingkui and Zhang, Yanning and van den Hengel, Anton and Shi, Qinfeng},
  booktitle = {AAAI Conference on Artificial Intelligence},
  year      = {2017}
}